728x90
반응형
기판의 치수 변형으로 인해 발생하는 정렬 오차를 최소화하기 위해 이를 고려한 정렬 방법이 필요하다. 중심 정렬(center alignment)은 가장 널리 사용되는 알고리즘 중 하나다.
2 point alignment

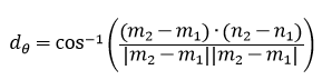
두 마크를 잇는 직선의 중심을 각각 p, q라고 하면 다음과 같이 정의할 수 있다.

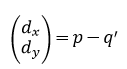
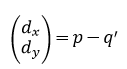
정의된 중심점이 일치되도록 정렬해야 한다. p, q를 중심으로 회전할 수 있다면 간단히 계산할 수 있지만 회전은 회전 중심으로 회전하기 때문에 회전 후에 위치 이송량 dx, dy를 구해야 한다.

물론 두 직선의 각도를 구한 후 차를 구해도 된다.

회전 행렬을 이용하여 사이 각 만큼 회전을 하면 다음과 같은 모양이 된다.

q' 는 다음과 같이 계산할 수 있다.

회전된 중심 q'과 기준 중심 p의 차이를 이용하여 이송량 dx, dy를 구할 수 있다.

이송량을 보상할 때에는 캘리브래이션을 통해 구해둔 데이터를 이용하여 보상하여 맞추도록 한다.
728x90
반응형
'소프트웨어 공부 > 알고리즘' 카테고리의 다른 글
| 중심 정렬, 4point alignment (0) | 2023.10.31 |
|---|---|
| K-NN (최근접 이웃 알고리즘) (8) | 2021.10.14 |